发表日期:2023/06/21
摘 要:单孔波速测试是岩土工程勘察中的重要方法,由此可获取场地剪切波和压缩波信息。其中剪切波波速是场地类型评价和建筑抗震等级划分的重要参数。面波作为一种地球物理勘探方法,可以测得场地的瑞雷面波波速,因面波和剪切波波速值基本等价,我们尝试用面波勘探的方式去进行场地波速评价。在同一场地中采用单孔声波采集剪切波、用面波仪采集面波,并将二者结果与钻探资料进行对比,借此研究瑞雷面波应用于场地波速测试中的可行性。
关键词:波速测试技术;瑞雷面波;剪切波;岩土工程勘察;场地波速评价;地球物理勘探波速测试技术是地震勘探方法之一,也是地球物理勘探技术的一个重要分支,目前已广泛应用于水利、水电、石油、铁路、冶金、工业与民用建筑等众多岩土工程地质勘察领域,取得了良好的应用效果。
单孔声波测试法在岩土工程勘察中应用最为广泛,它可以同时测得岩土层的P波(压缩波)、S波(剪切波),为场地等级划分提供直接依据,结合土工试验可以查明其他岩土层的原位信息[1-2]。
面波勘探作为地震勘探的重要分支,因其在纵向高分辨率的特点在工程勘察和场地划分领域也有较大应用,因其数据采集方式较单孔波速测试更便捷、廉价,如果面波波速测试得到结果与单孔声波测试结果一致性高,用面波去代替单孔声波作原位测试有较大可行性[3]。
本文简单介绍一下面波测试和单孔声波测试技术工作原理和野外测试方法,并结合工程实例,说明其应用效果。因重点在两种方法的对比上,本次单孔波速测试只采集剪切波不采集压缩波。
鄙人能力有限,文中不妥之处,敬请批评指正。
1、工区概况简介
本次对比试验工区位于武汉市某处平坦场地,原为内陆湖床,后水位下降形成的滨湖区陆地。海拔约100m,地下水位较浅,地层依次为杂填土、素填土、淤泥土、粉质粘土、黏土、强风化砂岩、砂岩。
场地平整,噪音小,满足剪切波测试和面波测试条件。
2、单孔波速测试(剪切波测试)原理
以岩(土)体的弹性特征为基础,通过测定不同岩(土)层的S波、P波的传播速度,计算岩(土)体的动弹性参数,据此判定岩(土)体的工程性质,为工程设计提供可靠的科学依据。 实测一般采用单孔地表激发孔中接收法,即地面激发弹性波,孔内由检波器接收。当地面震源采用叩板时可正反向激发,并产生S波,利用剪切波震相差180°的特性来识别S波的初至时间[4]。
剪切波测试是由人工在地表水平方向敲击木板产生振动(见图1),这种振动沿着地层由浅及深传播开来,并被不同深度的检波器接收,最终根据不同深度及剪切波到达时间求取地层剪切波信息[5-6]。其现场工作方式见图2。

图1 剪切波震源装置示意图

图2 剪切波现场工作方式示意图
3、面波测试原理
面波是一种特殊的地震波,它与地震勘探中常用的P波和S波不同,它是地滚波。弹性波理论分析表明,在层状介质中,拉夫波是由SH波(水平方向S波)与P波干涉而形成,而瑞利波是由SV波(垂直方向S波)与P波干涉而形成,且R波的能量主要集中在介质自由表面附近,其能量的衰减与r-1/2成正比,因此比体波(P、S波∝r-1)的衰减要慢得多[7]。
面波勘探是由人工震源激发,在地层中形成一种扰动,这种扰动沿一定方向在地下半空间中由远及近传播,在传播的过程中被检波器接收,最终基于面波的频散特性(不同频率面波具有不同波速)将不同频率面波分离并绘制成频散曲线,最终根据频散曲线特点去反演,得出地层由浅及深的波速信息[8-9]。面波勘探现场布置示意图见图3。

图3 面波现场布置示意图
4、现场工作方式和数据采集
4.1 剪切波现场测试
本次剪切波测试采用的12磅铁锤,2m*0.3m*0.1m的木板,累加不低于400kg重物,现场测试孔口震源距1.5m,震源孔口高差0m,钻孔深度40m,测试深度38m,测试移距1m,采用正反剪同时采集方式。现场工作图见图4。

图4 剪切波现场测试
4.2 面波现场测试方法及数据采集
本次面波采用的24磅大锤激发,垫板尺寸20cm*20cm*2cm。
现场布置了一条测线,5个测点,炮点移距10m,其中测点3的中心点恰好在钻孔附近,每个测点布置18道检波器,2m道间距,偏移距8m,现场工作图见图5。

图5 面波工作图
5、数据处理及结果对比分析
5.1 剪切波数据处理
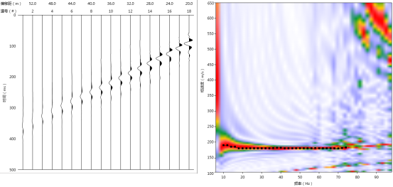
剪切波数据处理较简单,将采集到的数据导入分析软件,高频干扰较大的时候需要进行数字滤波,数据质量较好时,可直接判断首波声时,每一道波形根据正反剪信号特点确定首波到达时间,即可生产波速随什么变化的波速曲线图,在判读首波的过程中,首波位置稍微偏离一点,对某一层的波速影响很大,因而人工判读过程中很难做到每一层波速都精准无误,但是对整体等效剪切波波速计算基本无影响,其判读结果如图6。

图6 剪切波数据处理
5.2 面波数据处理
面波数据处理相较剪切波复杂很多,数据处理流程一般为:导入数据、预处理(排列参数校正、干扰波切除、滤波、归一化等)、频散曲线提取、建立反演模型、反演、剖面成图、成果导出[5]。
下图7、图8为排列中心点切好在剪切波钻孔附近测点(测点3)的频散曲线提取与反演图。
面波作为一种常见勘察方法,通常会沿着测线等距移动放炮,本次面波测试一共沿测线布置5个测点,5个测点的联合剖面图见图9,它反应了场地整体波速变化特点,其中钻孔在3号测点附近,即图中测点位置20m处。

图7 地震记录及频散曲线提取

图8 数据反演及误差拟合

图9 多测点剖面成图
5.3 测试结果对比与分析
为了验证上文中两种方法的测试效果,将钻孔资料与两种测试结果进行对比,其对比结果见图10,图11。

图10 钻探资料及剪切波波速测试结果

图11 面波测试结果及分层
6、结论
分析上文剪切波和面波数据的对比结果可得到以下信息:
(1)剪切波和面波的勘探结果很接近,表明面波勘探技术在场地波速评价上可行性高;
(2)剪切波可以精确地测量每一米层厚的剪切波信息,其信息的精准程度面波勘探无法比拟,但是剪切波每一层的波速值受场地噪音水平、震源激发质量、人工判读水平等影响较大,经常存在较大误差;
(3)面波勘探结果更加稳定,但是它反应的是地下测线长度范围内地层的综合信息,其信息精确度赶不上剪切波,但是信息量比剪切波大;
(4)在场地条件较单一时,面波勘探结果与剪切波近似。当场地条件复杂,面波无法代替剪切波勘探;
(5)在岩土层原位测试或者其他要求纵向分辨率高、波速精确的领域面波不宜取代剪切波测试。
参考文献:
[1]GB50021-2009,岩土工程,勘察规范[S].
[2]GB50011-2010,建筑抗震设计规范[S].
[3]JGJ/T143-2004,多道瞬态面波勘察技术规程[S].
[4]郑思慧, 童广秀, 潘兴军,等. 剪切波测试成果分析与应用[J]. Shanxi Architecture, 2013, 39(27):48-50.
[5]狄圣杰, 汪明元, 张昆,等. 江苏近海地层原位剪切波速相关特性及预测方法研究[J]. 华东政法大学学报, 2014, 36(3):127-133.
[6]李凯. 面波勘探技术在工程勘察中的应用进展[J]. 工程地球物理学报, 2011, 08(1):97-104.
[7]董先军, 葛建伟. 瞬态多道面波勘探技术在岩土工程勘察中的应用[J]. 西部探矿工程, 2011, 23(2):33-34.
[8]张海云. 瞬态瑞利面波技术在岩土工程勘察中的应用[J]. 西部探矿工程, 2015, 27(5):11-12.
[9] 陈任.面波法波速测试在岩土工程勘察中的应用[J].企业科技与发展,2010,292(22):115~117.
免责声明:本站文章版权归原作者所有,内容为作者个人观点。如涉及作品内容、版权和其它问题,请在30日内与本网联系,我们将在第一时间删除内容!
021-69899545
027-87955289
sales@y-link.cn
上海总部
上海市嘉定区沪宜公路1188号18幢
武汉服务中心
湖北省武汉市江夏区阳光大道中科天工智能装备研究基地
公安备案号:42011302000612
沪ICP备12025244号-2